网站首页
开云中国
开云官方网页版
业务办理
信息公开
政策法规
企业简介
发展沿革
组织架构
领导简介
公司荣誉
企业文化
公司新闻
行业动态
通知公告
供水期刊
员工天地
水费缴纳
维修申请
过户申请
网上报装
报装进度查询
客户投诉建议
供水服务信息
供水公开承诺
供水保障方案
招标与采购
中标通告
标准规范
法律法规
部门规章
政策解读
当前位置:
首页
>
信息公开
>
供水服务信息
>
供水厂出厂水水质公告
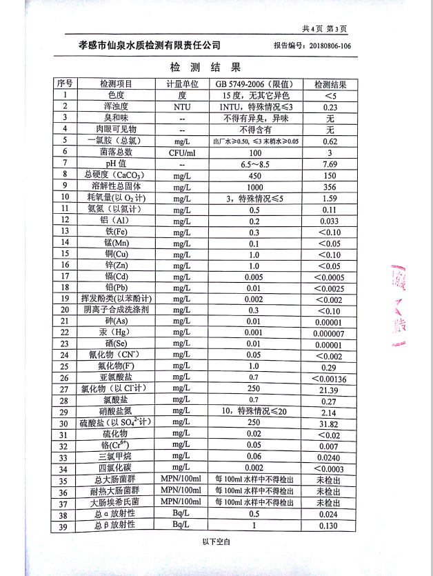
2018年8月水质报告
来源:孝感自来水
发布时间:
2018/8/20 10:38:51
网站首页
官方微信
微信公众号
微信小程序
客服热线
省统一供水热线
96510
原有供水热线
2897188
调查问卷
返回顶部
华体会电子平台(官方)登录网站
|
米兰app官方端网站入口
|
安博手机站官方网站入口
|
MK平台
|
安博在线_安博在线(中国)
|
乐鱼线上平台(集团)官方网站
|
开云链接官网_开云(中国)
|
开云网页版登录入口
|
乐鱼网页版·官方站网站
|